Монгол Улсын Хөгжлийн банкны тухай хууль болон холбогдох бусад хууль тогтоомж, дүрэм, журмын хүрээнд Монгол Улсын Хөгжлийн банкны үйл ажиллагаатай холбоотой мэдээ мэдээллийг олон нийтэд ил тод, нээлттэй мэдээлэх зарчмыг баримтлан “Монгол Улсын Хөгжлийн банкны мэдээллийн ил тод байдлын тухай журам”-ыг Монгол Улсын Хөгжлийн банкны Гүйцэтгэх захирлын 2022 оны нэгдүгээр сарын 28-ны өдрийн А-09 тоот Тушаалаар шинэчлэн баталсан.
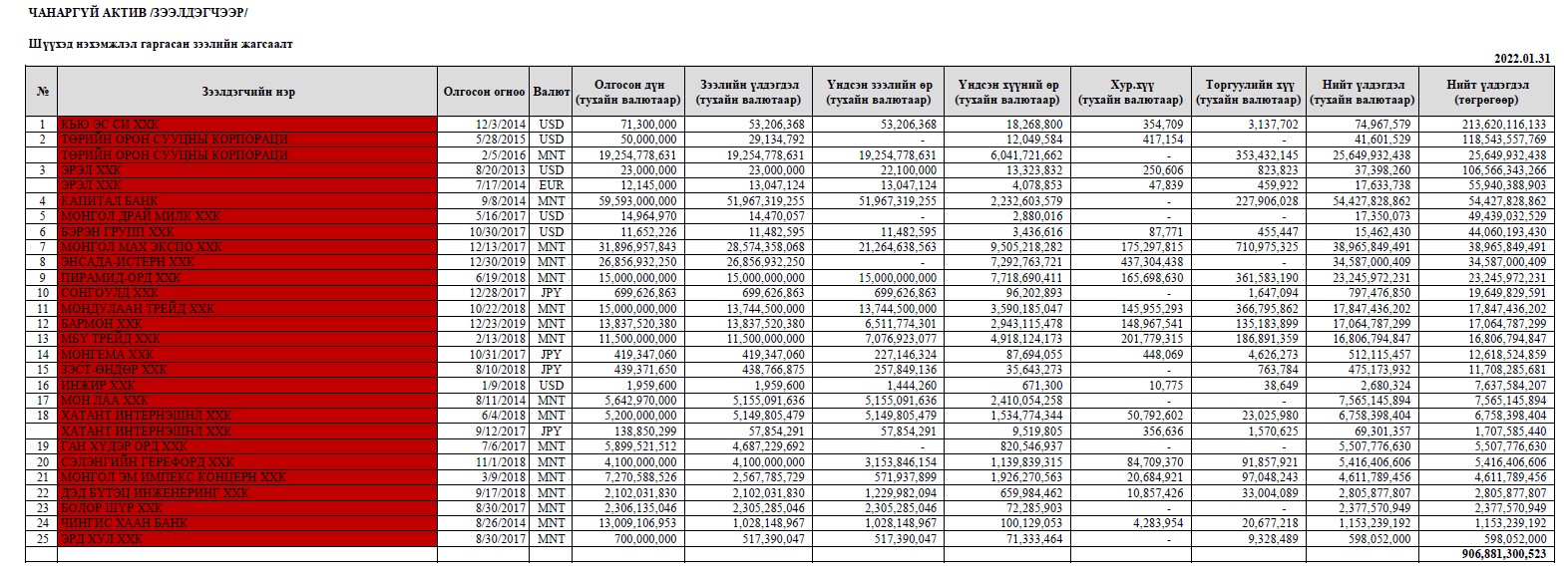
Монгол Улсын Хөгжлийн банкнаас чанаргүй зээл болон шүүхэд шилжсэн зээлийн мэдээллийг 2022 оны нэгдүгээр сарын 20-ны өдөр олон нийтэд ил тод, нээлттэй мэдээлсэн бол дээрх батлагдсан журмын хүрээнд Монгол Улсын Хөгжлийн банкнаас олгосон нийт зээлийн багцын мэдээллийг мэдээлж байна.
.jpg)
.jpg)
.jpg)
.jpg)
| ТАНИЛЦ: Хөгжлийн банкнаас олгосон нийт зээлийн багцын мэдээлэл |
|
2026-03-20 13:32:22
BTS хамтлаг Arirang цомгоороо эргэн ирлээ
2026-03-20 13:29:36
Пауэрлифтингийн гурван насны улсын аварга эхэллээ
2026-03-20 13:15:07
Япон Улсад оюутан суралцаж эхэлсний 50 жилийн ойн уулзалт болов
2026-03-20 12:28:51
“ТБИЛИС-2026” ЖҮДО БӨХИЙН “ИХ ДУУЛГА” ТЭМЦЭЭН ЭХЭЛЛЭЭ
2026-03-20 11:31:12
2026-03-20 11:30:00
ЭЦА: Нэгүүн.мн сайтыг шалгаж буй асуудал төрийн алба хаагчийн бичлэгтэй хамаагүй
2026-03-20 10:42:49
2026-03-20 10:15:00
Монгол хэл, бичгийн шалгалтын бүртгэл өнөөдөр хаагдана
2026-03-20 10:06:44
АРХАНГАЙ АЙМАГТ ДАГАВАР ОХИНОО ХӨНӨӨСӨН Д “САНАХГҮЙ БАЙНА, ЭХНЭР МААНЬ ОХИНОО ЗОДДОГ БАЙСАН” ГЭЖ МЭДҮҮЛЖЭЭ
2026-03-20 07:00:40
АЗАРГААС ТЭНГРИ ХҮРТЭЛХ THUNDER-ИЙН ЗАМНАЛ
2026-03-20 07:00:00
Л.ОЮУН-ЭРДЭНЭ, Д.АМАРБАЯСГАЛАН НАР ЕРӨНХИЙЛӨГЧТЭЙ ХЭЛЭЛЦЭЭРИЙН ШИРЭЭНД СУУХ ХҮРТЭЛХ УЛС ТӨРИЙН АКЦ
2026-03-20 07:00:00
Г.АМАРЦЭЦЭГ: МОЗАЙК УРЛАЛЫГ ХАРСАН ХҮМҮҮС “ШИЛЭЭР УРАН ЗУРАГ ЗУРЧХАЖ БАЙГАА ЮМ БИШ ҮҮ” ГЭЖ ГАЙХДАГ
2026-03-20 07:00:00
ҮЛЭГ ГҮРВЭЛИЙН ӨЛГИЙ НУТАГ ӨМНИЙН ГОВИОР
2026-03-20 07:00:00
САХАЛ Ж.БАТ-ЭРДЭНИЙН СААР БАРИМТУУД
2026-03-20 07:00:00
Чөлөөтийн залуучуудын улсын аваргын нээлт боллоо
2026-03-19 18:14:36
Чөлөөтийн дасгалжуулагчдын сертификат олгох сургалт, семинар боллоо
2026-03-19 16:07:33
Хувийн нэмэлт тэтгэврийн тухай анхдагч хуулийн төслийг өргөн мэдүүллээ
2026-03-19 09:27:46
Чөлөөт бөхийн “U17”, “U23” ангиллын өнөөдөр эхэлнэ
2026-03-19 07:10:00
УЯНГАЛАГ, ЯРУУХАН, ДАВТАГДАШГҮЙ...
2026-03-19 07:00:00
ХОТЫН ДАРГЫН ЗУРГИЙГ ШАТААСАН ЭТГЭЭДИЙГ ОЛЖ, Х.НЯМБААТАРЫН ГОМДЛООР ДӨРӨВ ХОНОГ ШАЛГАЖ БАЙНА
2026-03-19 07:00:00
АРДЫН ДУУГАА ЭРЭМДЭГЛЭГСДЭД ХАРИУЦЛАГА ТООЦЬЁ
2026-03-19 07:00:00
Т.ДҮҮMAAM: Уурхайн зам дагаж хөгжил биш үхэл “ирдэг” боллоо
2026-03-19 07:00:00
222233УИХ-ЫН ГИШҮҮН Ж.ЗОЛЖАРГАЛ АХДАА ТЕНДЕР ОЛЖ ӨГДӨГ ИНЖЕНЕР ҮҮ
2026-03-19 07:00:00
Б.МӨНХДЭЛГЭР: ХАР ТАМХИНД ГАНЦ УДАА ГЭЖ БАЙДАГГҮЙГ "NO DRUG" КИНОНД ТОГЛОХДОО ХАМГИЙН САЙН ОЙЛГОЛОО
2026-03-19 07:00:00
| Монгол Улс, Улаанбаатар хот, Сүхбаатар дүүрэг, VIII хороо, "Ардын эрх"-ийн байр, Гуравдугаар давхарт Эргэлт.мн редакц |
| 7509-1188 |