Хот хоорондын нийтийн зорчигч тээврийн хөлс 2013 оны долдугаар сараас хойш нэг километр нь 45-55 төгрөг байсан. Гэвч цар тахлын улмаас зорчигчийн урсгал буурч, шатахууны үнэ нэмэгдсэн тул аж ахуй нэгжүүд хот хоорондын зорчигч тээврийн хөлсөө нэмжээ. Тодруулбал, Зам, тээврийн хөгжлийн сайдын 2019 оны 374 дүгээр тушаалын хоёрдугаар хавсралтаар нэг хүн.километрийн өртгийг 60-75 төгрөг байхаар тогтоосныг баримтлан нэг хүн.километрийн өртгийг 60-65 төгрөг болгожээ.
-Долдугаар сарын 19-нөөс хот хоорондын зорчигч тээврийн хөлсийг Зам тээврийн хөгжлийн сайдын 2019 оны тушаалын дагуу нэмсэн. Яагаад 2019 оны тушаалыг энэ жилээс хэрэгжүүлэхээр болсон бэ?
-Уг тушаалыг 2019 онд гаргахад “Ковид-19” гараагүй, зорчигч урсгал хэвийн, аж ахуй нэгжүүд тодорхой хэмжээнд алдагдал хүлээгээгүй байсан учраас тээвэрлэлтийн хөлс нэмэхгүй байж болно гэж үзсэн. Манай байгууллагаас ч тээврийн гүйцэтгэл өндөр байгаа учраас тухайн чиглэлд тариф нэмэх шаардлагагүй гэж үзэж байсан юм. Гэтэл “Ковид-19” гарсантай холбоотойгоор 2020 оноос хойш хот хоорондын нийтийн тээврийн үйлчилгээ долоон удаа тодорхойгүй хугацаагаар зогссон. Мөн цар тахалтай холбоотойгоор Түр журам гарган мөрдөж эхэлсэн учраас зорчигч урсгал их хэмжээгээр буурлаа. Ингэснээр аж ахуй нэгж, байгууллагууд их хэмжээний алдагдал хүлээж эхэлсэн. Бид УОК-ын шийдвэрийн дагуу 2020 онд тусгай үүргийн тээвэрлэлтийг 12 хоног гүйцэтгэхэд нийт 1.2 тэрбум төгрөг хүртэл алдагдал хүлээж, цаашид аж ахуй нэгжүүд тээвэр гүйцэтгэх боломжгүй болсон. Мөн үүнтэй зэрэгцээд шатахууны үнэ нэмэгдэж байна. Улмаар хот хоорондын нийтийн тээврийн үйлчилгээ үзүүлэх боломж хумигдлаа. Тухайлбал, 45 хүний суудалтай автобус УОК-ийн шийдвэрийн дагуу 40 хүн тээвэрлэх боломжтой. Гэтэл иргэд халдвар хамгааллын дэглэм баримтлах, PCR шинжилгээний хариутай байх зэрэг шаардлагаас шалтгаалан холын чиглэлд ердөө 20 зорчигчтой явж байна. Ерөнхийдөө хот хоорондын нийтийн тээврийн суудлын 30-50 хувь нь зорчигчгүй явж байгаа юм. Ийм үед шатахууны үнэ нэмэгдэхээр их хэмжээний санхүүгийн алдагдалд орсон тээвэрлэгчид тээвэр гүйцэтгэх боломжгүй болж, Зам тээврийн хөгжлийн сайдын 2019 оны тушаалыг мөрдөж, үнэ тарифаа нэмье гэсэн. Авто тээврийн үндэсний төв хот хоорондын нийтийн тээврийг гүйцэтгүүлэхээр аж ахуй нэгж, байгууллагуудтай хамтрах ажиллах гэрээ байгуулдаг. Тус гэрээнд аж ахуй нэгж байгууллагууд үнэ тариф, цагийн давтамж нэмэхтэй холбоотой хүсэлтээ гаргаж, шийдвэрлүүлэх үүрэгтэй гэж заасан. Тиймээс гэрээний дагуу бид харилцан тохиролцоод, жишиг тарифт нийцүүлж, хот хоорондын нийтийн тээврийн нэг хүн.километрийн үнээ нэмсэн.
-Амь даатгалын үнэ нэмэгдсэн үү?
-Амь даатгал мөнгөн дүнгээсээ шалтгаалж бодогддог. Тэгэхээр километр тутамд тариф нэмэгдэхэд амь даатгалын үнэ дагаад нэмэгдчихэж байгаа юм.
-Одоогийн байдлаар хэдэн автобус үйлчилгээнд гарч байна вэ. Ковидын өмнөх үеэс хэр цөөрсөн бэ?
-Зорчигч тээврийн үйлчилгээний давтамж тодорхой хэмжээнд буурсан. Одоогийн байдлаар нийт 62 чиглэлд тээвэрлэлт гүйцэтгэдгээс 21 чиглэлд нь тээвэрлэлт хийхгүй байгаа. Тухайн чиглэлүүд Аймаг болон Сумын онцгой комиссын шийдвэрээр зогсчихоод байгаа. Харин үлдсэн 41 чиглэлд тээвэрлэлт гүйцэтгэж байгаа ч байнгын явдаг гэрээнд заасан цагийн хуваарь нь цөөрсөн. Тухайлбал, Завхан аймагт тээвэрлэлтийн үйл ажиллагааг нээж байгаа хэр нь долоо хоногийн долоо өдөр хот хоорондын нийтийн тээвэр хүлээж авдгаа больж, долоо хоногийн гурав хоногт нь хүлээж авдаг болсон. Энэ мэтээр тээвэрлэлтийн давтамж 40 гаруй хувиар буурсан

-Цар тахлын үед иргэд хувийн унаагаар зорчихыг илүүд үзэж байх шиг байна?
-УОК-ын шийдвэртэй холбоотойгоор хот хоорондын нийтийн тээврээр зорчигчид багассан. Учир нь хувийн унаагаар явж буй хүмүүсийн нэг нь л PCR шинжилгээний хариутай байхад орон нутаг руу зорчиж болно. Харин хот хоорондын нийтийн тээврээр зорчигч заавал PCR, түргэвчилсэн шинжилгээний сөрөг хариу эсвэл дархлаажуулалтдаа бүтэн хамрагдсан байх шаардлагатай. Энэ журмыг хангахад иргэдэд хүндрэлтэй байх шиг байна. Тиймээс халдвар хамгааллын дэглэм мөрдөж, Түр журмаа биелүүлэх нь зорчигч урсгал буурахад тодорхой хэмжээгээр нөлөөлж байгаа.
-Хот хоорондын нийтийн тээврийн тасалбарыг цахимаар захиалах боломжгүй болсон байсан. Энэ нь ямар учиртай вэ?
-PCR болон түргэвчилсэн шинжилгээний хариу ордог “Гэрэгэ” системээс бид мэдээлэл солилцох журмаар шинжилгээний хариуг авдаг байсан юм. Харин одоо Авто тээврийн үндэсний төв ямар нэг байгууллага, нэгдсэн системээс шинжилгээний хариу татан авах боломжгүй болсон. Тиймээс цахимаар тасалбар бичих боломжгүй. Учир нь, Түр журамдаа дээрх баримтыг үндэслэн тасалбар бичнэ гэж заасан. Тэгэхээр заавал шинжилгээ болон дархлаажуулалтын бичиг баримттай байж хот хоорондын нийтийн тээврээр үйлчлүүлэх хэрэгтэй. Одоогийн байдлаар зөвхөн “Хур” системээс дархлаажуулалтын гэрчилгээг татах боломжтой байгаа. Тиймээс зөвхөн дархлаажуулалтдаа бүрэн хамрагдаад 14 хоносон хүмүүст тасалбар бичиж байна. Харин шинжилгээний хариутай иргэдэд тасалбар бичих боломжгүй. Учир нь, хувийн лабораторид сөрөг гэсэн бичиг даруулсан, цаасан хэлбэрийн баримттай ирэх тохиолдол олон байна.
Б.БАДАМЗУЛ
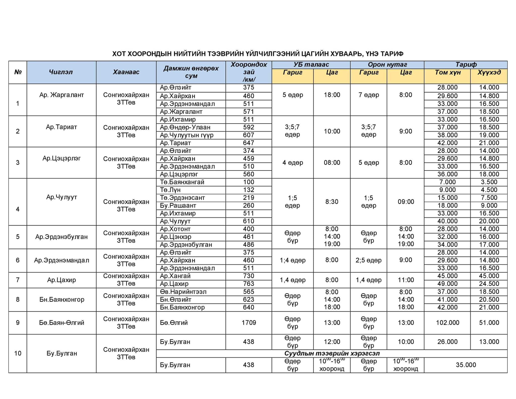
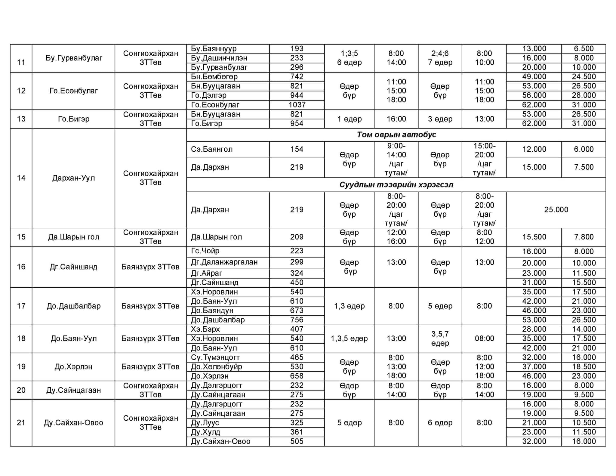
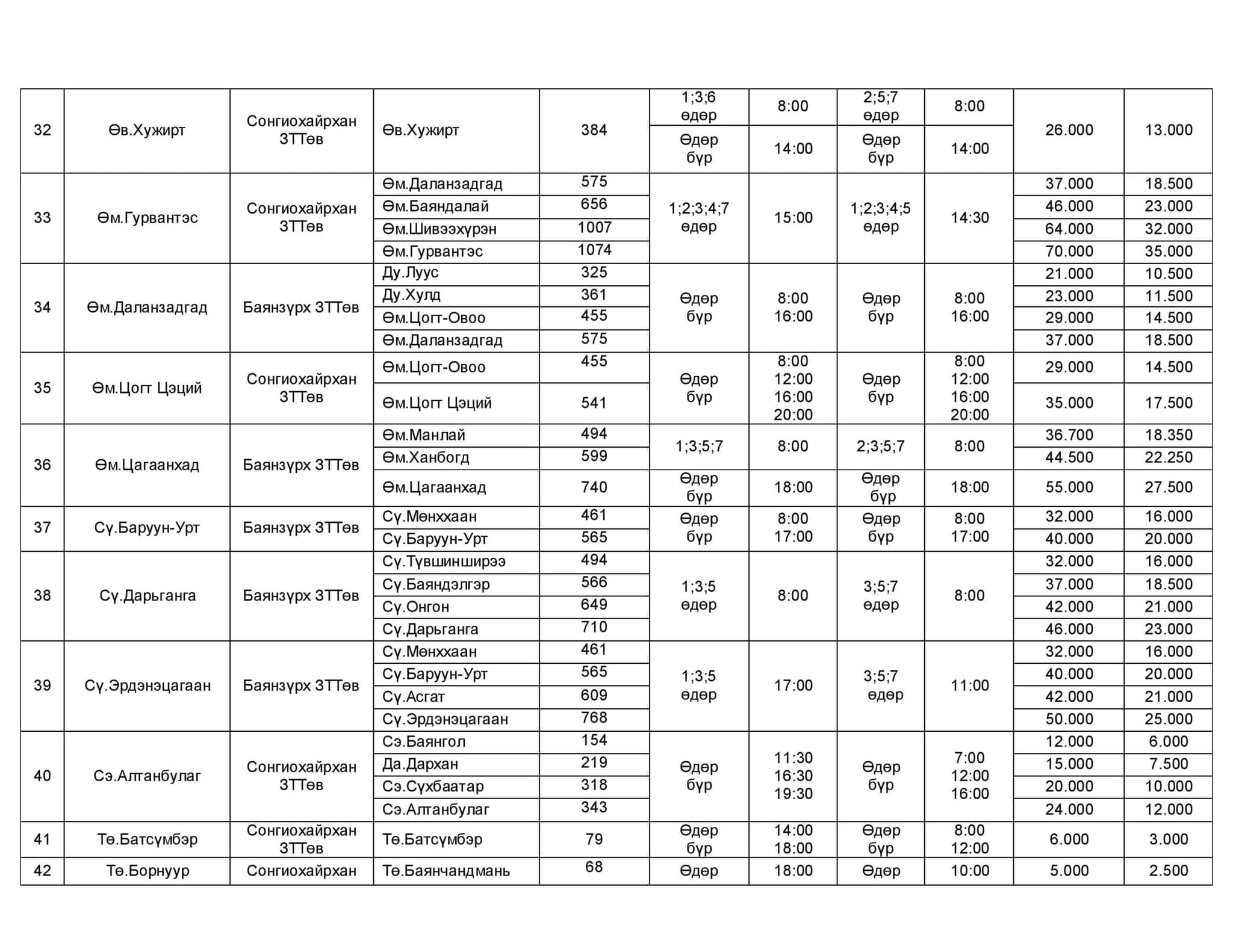
Хот хоорондын нийтийн тээврийн чиглэлийн тариф
.jpg)
.jpg)
.jpg)
.jpg)
.jpg)
.jpg)
.jpg)
| Б.ЭРДЭНЭЦЭЦЭГ: Зорчигч урсгал буурч, шатахууны үнэ нэмэгдсэн учраас хот хоорондын нийтийн тээврийн хөлс нэмэгдсэн |
|
Хувийн нэмэлт тэтгэврийн тухай анхдагч хуулийн төслийг өргөн мэдүүллээ
2026-03-19 09:27:46
Чөлөөт бөхийн “U17”, “U23” ангиллын өнөөдөр эхэлнэ
2026-03-19 07:10:00
УЯНГАЛАГ, ЯРУУХАН, ДАВТАГДАШГҮЙ...
2026-03-19 07:00:00
ХОТЫН ДАРГЫН ЗУРГИЙГ ШАТААСАН ЭТГЭЭДИЙГ ОЛЖ, Х.НЯМБААТАРЫН ГОМДЛООР ДӨРӨВ ХОНОГ ШАЛГАЖ БАЙНА
2026-03-19 07:00:00
АРДЫН ДУУГАА ЭРЭМДЭГЛЭГСДЭД ХАРИУЦЛАГА ТООЦЬЁ
2026-03-19 07:00:00
Т.ДҮҮMAAM: Уурхайн зам дагаж хөгжил биш үхэл “ирдэг” боллоо
2026-03-19 07:00:00
222233УИХ-ЫН ГИШҮҮН Ж.ЗОЛЖАРГАЛ АХДАА ТЕНДЕР ОЛЖ ӨГДӨГ ИНЖЕНЕР ҮҮ
2026-03-19 07:00:00
Б.МӨНХДЭЛГЭР: ХАР ТАМХИНД ГАНЦ УДАА ГЭЖ БАЙДАГГҮЙГ "NO DRUG" КИНОНД ТОГЛОХДОО ХАМГИЙН САЙН ОЙЛГОЛОО
2026-03-19 07:00:00
Имарт Бизнес Клубын танилцуулга арга хэмжээ зохион байгуулагдана
2026-03-18 17:31:07
Хаяж, үрэгдүүлсэн үл хөдлөх эд хөрөнгийн гэрчилгээг дахин авах шат дамжлагыг буурууллаа
2026-03-18 15:51:34
УВАЙГҮЙ УРВАЛТ, УЛАЙРСАН ТОМИЛГОО, УЛАЙССАН ШУНАЛААСАА БОЛЖ УНАХ ВИЙ, Н.УЧРАЛ
2026-03-18 14:20:00
2026-03-18 13:51:05
Х.НЯМБААТАР: Миний зургийг шатаавал шатаагаад явж байг. Өдөр болгон бөөлөөд явж байсан ч яах вэ, би урдах ажлаа л хийе
2026-03-18 13:42:51
Төлөөлөгч Ж.Батболд: Хотын даргын зургийг шатаасан хүн би биш, үдээс хойш цагдаад хандана
2026-03-18 13:19:36
2026-03-18 13:03:56
Хог шатааж эрчим хүч үйлдвэрлэх төслийн газар чөлөөлөлт үргэлжилж байна
2026-03-18 12:14:05
Т.БААСАНСҮРЭН: БИ НАСАН ТУРШДАА ХҮН АРДАА МАГТАН ДУУЛСАН
2026-03-18 11:00:00
Б.ТЭМҮҮЛЭН: БИ ИХ ШУНАЛТАЙ, УРЛАГИЙН БҮХ САЛБАРТ МУНДАГ НЬ БАЙХЫГ ХҮСЭЖ, ХИЧЭЭЖ БАЙГАА
2026-03-18 08:00:00
ЗАЛУУ ЖҮЖИГЧИН А.ЭНХЖИН: УРЛАГИЙН ХҮН БОЛОХОД УРАН ЗОХИОЛЫН БАГШ МИНЬ ХАМГИЙН ХҮЧТЭЙ НӨЛӨӨЛСӨН
2026-03-18 07:00:00
ГАДААДЫН ХӨРӨНГӨ ОРУУЛАГЧДЫГ ХАШРААСАН Ж.ГАЛБАДРАХ
2026-03-18 07:00:00
ХИЛС ХЭРЭГТ ГҮТГЭГДЭЖ, ЦАГДАА НАРТ ТАМЛУУЛЖ, ШҮҮХЭЭС ХОЁР УДАА ЦААЗЫН ЯЛ СОНСОХДОО 23-ХАН НАСТАЙ БАЙЛАА
2026-03-18 07:00:00
| Монгол Улс, Улаанбаатар хот, Сүхбаатар дүүрэг, VIII хороо, "Ардын эрх"-ийн байр, Гуравдугаар давхарт Эргэлт.мн редакц |
| 7509-1188 |